淺析dn50渦街流量計的相關系統及結構與改進措施
點擊次數:2281 發布時間:2021-01-06 11:34:56
內容摘要:本文介紹了某核電廠核島輔助廠房dn50渦街流量計(8SVA001BA) 的相關系統及結構,并對dn50渦街流量計(8SVA001BA)的所有來水和凝結水去處進行了分析。通過分析計算總結出了dn50渦街流量計(8SVA001BA)頻繁補水的根本原因,并提出相應的改進措施。dn50渦街流量計(8SVA001BA)補水是核島日常工作之一,有時約每天補一次,如果不及時補水電廠主控將常時出現8SVA002AA 報警,液位降低可導致 8KRT505MA 的取樣泵(8KRT501PO) 不可用,從而導致 8KRT505MA 不可用,8KRT505MA 用于監測 SVA 系統冷凝水活動,以發現氣體分離裝置和蒸發器的熱交換器泄露-屏障監測,所以dn50渦街流量計(8SVA001BA)對核電廠的放射性監測起著至關重要的作用。但是為何補水次數如此頻繁,說法眾說紛紜,其中好多的一個說法就是冷凝水通過冷凝水泵 (8SVA001/002PO)排至兩臺機組的常規島凝汽器。由于凝汽器中是負壓,每次在排水泵自動停運之后會出現虹吸,將dn50渦街流量計(8SVA001BA)中水吸入凝汽器,導致其液位持續下降。那虹吸是不是液位下降的真正原因呢,本文將探討這個問題。
一、dn50渦街流量計(8SVA001BA)相關系統及結構
(一)系統組成
1. 凝結水回路。一臺凝結水貯存箱 001BA 收集從核輔助廠房的脫氣器和蒸發器來的凝結水;除鹽水分配回路,可進行貯存箱的地衣次充水和補水;放射性測量裝置,它在貯存箱的凝結水入口處進行測量;溢流管通過核島疏水排氣系統(RPE)與廢液處理系統(TEU)的各樓層疏水箱相連接;兩臺泵 001PO 和 002PO,并聯布置(一臺泵運行,一臺泵備用),它們將貯存箱 001BA 來的凝結水排入 3. 4 號機汽輪機廠房內。
2. 放射性測量回路。放射性測量回路(測量核輔助廠房內回收的凝結水的放射性)包括以下設備:一臺輸送泵放射性監測系統 KRT501PO,它在箱體 SVA001BA 的入口處抽取凝結水樣,并將其送到放射性測量裝置;一臺熱交換器(由RRI 回路供冷卻水)SVA001RF,它將凝結水樣冷卻至 40℃;一臺放射性測量裝置 KRT505MA;一條與 REN 系統相連接的管道,引入 SED 鹽水,保證回路沖洗;一臺流量計 KRT501SD。
(二)系統布置。冷凝水箱(001BA):0M 廠房(NB280)房間;冷凝水泵(SVA001PO -002PO):0M 廠房(NB280)房間。
(三)dn50渦街流量計(8SVA001BA)凝結水來源。4 號機組 TEP 除氣塔/蒸發器(4TEP001DZ/EV)、3 號機組 TEP 除氣塔/蒸發器 3TEP001DZ/EV、TEU 蒸發器(8TEU001EV) 冷凝水;輔助蒸汽分配系統(8SVA) 供氣母管上的疏水器 263、272、277PU 疏水;來自輔助蒸汽分配系統(8SVA)供氣管線支線負荷前疏水器疏水;來自 8KRT505MA 取樣管線返回管線。
(四)dn50渦街流量計(8SVA001BA)凝結水去處。冷凝水泵 ( 8SVA001、002PO) 往凝汽器排水; 冷凝水回水箱(8SVA001BA)底部疏水閥 220VL 閥門內漏;dn50渦街流量計(8SVA001BA)溢流管線跑水;dn50渦街流量計(8SVA001BA)排氣管線跑水。
二、dn50渦街流量計(8SVA001BA)液位降低的原因
由于來水支路比較多,對水位的上升下降判斷造成了一定的困難,但從排水情況分析,不外乎以下四種原因。
(一)dn50渦街流量計(8SVA001BA)底部疏水閥 8SVA220VL關閉不嚴或內漏。如果 220VL 內漏,此閥門下游溫度將和001BA 下部液體溫度差不多,由于 001BA 的溢流口與疏水閥下游連接在一起,從管線出口觀察目前是一直有水流出,且為連續水流,但實際下游出水溫度比較高,通過點溫儀發現高達 83 度左右,而溢流 220VL 上下游溫度大約在 60 度左右,同時閥門用 F 扳手無法再關緊,因此閥門內漏的可能很小,從溢流口出水的概率比較大。
(二)dn50渦街流量計(8SVA001BA)溢流管線跑水。從上一個原因可以判斷溢流管一直有水流出,從現場的布置來看,從 KRT 打出來的水進入溢流管的可能性還是很大的。但從點溫儀檢查管道表面的溫度發現溫度高達 83 度,如果是KRT 返回水,水溫應該很低,因為已經經過 RRI 水冷卻,同時從廠家提供的設備圖紙可以看出,這兩個口的水平距離相差約 175mm,因此從溢流管出來的水可能是蒸汽冷凝水。如果是蒸汽冷凝水,應該不會造成液位下降,理由是蒸汽來自外部。
(三)dn50渦街流量計(8SVA001BA)頂部排氣管線跑水。從現場的管線出口觀察,一直有水不斷地流出,而且水流成連續線狀,可能是 001BA 不停地蒸發排氣,造成液位下降。dn50渦街流量計 001BA 水來自 4 號機組 TEP 除氣塔/蒸發器 ( 4TEP001DZ/EV )、3號機組TEP除氣塔/蒸發器3TEP001DZ/EV、TEU 蒸發器(8TEU001EV)冷凝水疏水溫度都是比較低的,經過設備冷卻水系統(RRI)冷卻,而且這些設備一般都不運行。來自其它母管上的疏水器的疏水溫度比較高,這些疏水從 001BA 頂部進入 001BA。通過點溫儀發現排氣管溫度達到 94 度。因此排氣管的連續水流好有可能的原因是疏水器排氣溫度較高的蒸汽進入排氣管線后冷凝成液體,從而出現連續水流,但這個水理論上也不會造成001BA 液位下降。理由是蒸汽來自 001BA 外部,而不是001BA 內部液體產生。
(四) dn50渦街流量計 (8SVA001BA) 中的冷凝水通過8SVA001/002PO 排水管線將水排至 3/4 號機的凝汽器。通過查找相關資料得出,虹吸的三個條件依次是管內先裝滿液體;出水口比上容器的水面必須低;管的好高點距上容器的水面高度不得高于大氣壓支持的水柱高度。每次出現低低液位,必然排水泵啟動過,每次在排水泵自動停運之后是不是出現了虹吸呢,SVA001BA 處于 0m,而凝汽器在 0m 以下,雖然在排水管上設置了倒 U 型管,但倒 U 型管的高度只有 9米[水封高 17m(從常規島負一樓起)到001BA 離地面約 1 米-7m(0 米) =9m]左右,根據查找相關資料,虹吸管好大真空高度一般不超過 8. 5m,那么計算的這個 9m 由于計算出現的誤差性,剛好在破壞虹吸的臨界值附近,所以會不會發生虹吸還要通過具體計算來確定。
(五)驗證與分析四個原因。為了驗證原因四的正確性,2016 年 11 月 9 日中班,001BA 出現低低水位報警后,現場開閥補水至 600mm 后(平時將水補到 600mm 消低報警后,約 1小時后即出現 500mm 低低報警),經主控同意,關閉了凝結水泵(001、002PO)出口閥,同時將三廢各蒸發器和除氣塔的疏水氣動調節閥至手動關閉位置,從而好大限度減少來水量。經過約 6 小時的觀察,發現液位沒有下降,反而升高到750mm。因此可以斷定水從泵排水管線流走量非常大。dn50渦街流量計(8SVA001BA)容積為 6 立方,600mm 下降到 500mm,下降 100mm,約需要 1 小時,這個高度差不多處于罐子的中下處,從已知的參數可以估算出 3m* 1m* 0. 1m 等于300L,也就是說一小時至少跑了300L 水(忽略來水),從原因一加原因三觀察看出,明顯一小時跑水量達不到 300L 這么大的量。那么這會不會是虹吸造成的呢,如果發生虹吸。

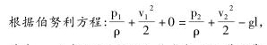
其中 p 1 代表 8SVA001BA 處大氣壓因罐子截面面積遠遠大于虹吸管截面,所以 v 1 為零,p 2 代表凝汽器壓力,這里取7kpa,l 代表凝汽器與dn50渦街流量計(8SVA001BA)所處高度差,從現場實際布置目測大概是距離地面 5m 左右,帶入公式,計算得出 v = 17m/s 左右,即使考慮管道流阻,取 v =2. 2m/s,帶入公式計算一小時罐子的流量得出 πr2vt =22m 3 ,(查閱相關管道布置圖得知 r = 0. 03m,t = 3 600s)遠遠大于3 00l,所以不可能是虹吸,那么這 3 00l 水到底去哪里了呢。查閱資料得知,核電廠的凝汽器的負壓值在 5. 39 ~11. 8kpa,該值對應的水飽和溫度范圍為 34 ~49℃之間,而排水管道中的水溫應該在 50℃左右(通過水箱外部點溫儀測量的溫度在 60℃ 左右)。所以 8SVA001/002PO 排放到低液位停止之后,下游管道內的水溫高于凝汽器負壓下的飽和水溫,會逐漸汽化,進入凝汽器,造成冷凝水回水箱(8SVA001BA)液位的緩慢下降。通過對比發現,冬天里一周的報警次數都大于夏天里一個月的報警次數,原因是夏天凝汽器的真空壓力明顯高于冬天的凝汽器真空壓力,這就造成了管道里夏天的飽和水溫度明顯高于冬天的飽和水溫度,也就說明相同的溫度來水,冬天更容易發生汽化,所以液位下降也就更明顯。這個結果更加驗證了dn50渦街流量計(8SVA001BA)水位下降是由于管道內水汽化的結果,而不是虹吸。
三、改進措施
通過上述計算得知造成液位下降的真實原因不是虹吸,沒有必要再增加 U 型管的高度來破壞虹吸。為了防止液位降低,可以在凝結水泵(8SVA001/002PO)設置氣動隔離閥,引入控制信號與凝結水泵(8SVA001/002PO),當任意一臺凝結水泵啟動,閥門開,反之,當兩臺凝結水泵都停運,閥門關閉,從而有效阻止通過冷凝水泵下游管線氣化造成冷凝水箱液位降低。
四、結語
凝結水泵(8SVA001/002PO)排放到低液位停止之后,通過計算分析得出目前的 U 型管高度滿足破壞虹吸要求,不會發生虹吸,造成液位下降的真實原因是凝結水泵下游管道內的水溫高于凝汽器負壓下的飽和水溫,會逐漸汽化,進入凝汽器,造成dn50渦街流量計(8SVA001BA)液位的緩慢下降。
一、dn50渦街流量計(8SVA001BA)相關系統及結構
(一)系統組成
1. 凝結水回路。一臺凝結水貯存箱 001BA 收集從核輔助廠房的脫氣器和蒸發器來的凝結水;除鹽水分配回路,可進行貯存箱的地衣次充水和補水;放射性測量裝置,它在貯存箱的凝結水入口處進行測量;溢流管通過核島疏水排氣系統(RPE)與廢液處理系統(TEU)的各樓層疏水箱相連接;兩臺泵 001PO 和 002PO,并聯布置(一臺泵運行,一臺泵備用),它們將貯存箱 001BA 來的凝結水排入 3. 4 號機汽輪機廠房內。
2. 放射性測量回路。放射性測量回路(測量核輔助廠房內回收的凝結水的放射性)包括以下設備:一臺輸送泵放射性監測系統 KRT501PO,它在箱體 SVA001BA 的入口處抽取凝結水樣,并將其送到放射性測量裝置;一臺熱交換器(由RRI 回路供冷卻水)SVA001RF,它將凝結水樣冷卻至 40℃;一臺放射性測量裝置 KRT505MA;一條與 REN 系統相連接的管道,引入 SED 鹽水,保證回路沖洗;一臺流量計 KRT501SD。
(二)系統布置。冷凝水箱(001BA):0M 廠房(NB280)房間;冷凝水泵(SVA001PO -002PO):0M 廠房(NB280)房間。
(三)dn50渦街流量計(8SVA001BA)凝結水來源。4 號機組 TEP 除氣塔/蒸發器(4TEP001DZ/EV)、3 號機組 TEP 除氣塔/蒸發器 3TEP001DZ/EV、TEU 蒸發器(8TEU001EV) 冷凝水;輔助蒸汽分配系統(8SVA) 供氣母管上的疏水器 263、272、277PU 疏水;來自輔助蒸汽分配系統(8SVA)供氣管線支線負荷前疏水器疏水;來自 8KRT505MA 取樣管線返回管線。
(四)dn50渦街流量計(8SVA001BA)凝結水去處。冷凝水泵 ( 8SVA001、002PO) 往凝汽器排水; 冷凝水回水箱(8SVA001BA)底部疏水閥 220VL 閥門內漏;dn50渦街流量計(8SVA001BA)溢流管線跑水;dn50渦街流量計(8SVA001BA)排氣管線跑水。
二、dn50渦街流量計(8SVA001BA)液位降低的原因
由于來水支路比較多,對水位的上升下降判斷造成了一定的困難,但從排水情況分析,不外乎以下四種原因。
(一)dn50渦街流量計(8SVA001BA)底部疏水閥 8SVA220VL關閉不嚴或內漏。如果 220VL 內漏,此閥門下游溫度將和001BA 下部液體溫度差不多,由于 001BA 的溢流口與疏水閥下游連接在一起,從管線出口觀察目前是一直有水流出,且為連續水流,但實際下游出水溫度比較高,通過點溫儀發現高達 83 度左右,而溢流 220VL 上下游溫度大約在 60 度左右,同時閥門用 F 扳手無法再關緊,因此閥門內漏的可能很小,從溢流口出水的概率比較大。
(二)dn50渦街流量計(8SVA001BA)溢流管線跑水。從上一個原因可以判斷溢流管一直有水流出,從現場的布置來看,從 KRT 打出來的水進入溢流管的可能性還是很大的。但從點溫儀檢查管道表面的溫度發現溫度高達 83 度,如果是KRT 返回水,水溫應該很低,因為已經經過 RRI 水冷卻,同時從廠家提供的設備圖紙可以看出,這兩個口的水平距離相差約 175mm,因此從溢流管出來的水可能是蒸汽冷凝水。如果是蒸汽冷凝水,應該不會造成液位下降,理由是蒸汽來自外部。
(三)dn50渦街流量計(8SVA001BA)頂部排氣管線跑水。從現場的管線出口觀察,一直有水不斷地流出,而且水流成連續線狀,可能是 001BA 不停地蒸發排氣,造成液位下降。dn50渦街流量計 001BA 水來自 4 號機組 TEP 除氣塔/蒸發器 ( 4TEP001DZ/EV )、3號機組TEP除氣塔/蒸發器3TEP001DZ/EV、TEU 蒸發器(8TEU001EV)冷凝水疏水溫度都是比較低的,經過設備冷卻水系統(RRI)冷卻,而且這些設備一般都不運行。來自其它母管上的疏水器的疏水溫度比較高,這些疏水從 001BA 頂部進入 001BA。通過點溫儀發現排氣管溫度達到 94 度。因此排氣管的連續水流好有可能的原因是疏水器排氣溫度較高的蒸汽進入排氣管線后冷凝成液體,從而出現連續水流,但這個水理論上也不會造成001BA 液位下降。理由是蒸汽來自 001BA 外部,而不是001BA 內部液體產生。
(四) dn50渦街流量計 (8SVA001BA) 中的冷凝水通過8SVA001/002PO 排水管線將水排至 3/4 號機的凝汽器。通過查找相關資料得出,虹吸的三個條件依次是管內先裝滿液體;出水口比上容器的水面必須低;管的好高點距上容器的水面高度不得高于大氣壓支持的水柱高度。每次出現低低液位,必然排水泵啟動過,每次在排水泵自動停運之后是不是出現了虹吸呢,SVA001BA 處于 0m,而凝汽器在 0m 以下,雖然在排水管上設置了倒 U 型管,但倒 U 型管的高度只有 9米[水封高 17m(從常規島負一樓起)到001BA 離地面約 1 米-7m(0 米) =9m]左右,根據查找相關資料,虹吸管好大真空高度一般不超過 8. 5m,那么計算的這個 9m 由于計算出現的誤差性,剛好在破壞虹吸的臨界值附近,所以會不會發生虹吸還要通過具體計算來確定。
(五)驗證與分析四個原因。為了驗證原因四的正確性,2016 年 11 月 9 日中班,001BA 出現低低水位報警后,現場開閥補水至 600mm 后(平時將水補到 600mm 消低報警后,約 1小時后即出現 500mm 低低報警),經主控同意,關閉了凝結水泵(001、002PO)出口閥,同時將三廢各蒸發器和除氣塔的疏水氣動調節閥至手動關閉位置,從而好大限度減少來水量。經過約 6 小時的觀察,發現液位沒有下降,反而升高到750mm。因此可以斷定水從泵排水管線流走量非常大。dn50渦街流量計(8SVA001BA)容積為 6 立方,600mm 下降到 500mm,下降 100mm,約需要 1 小時,這個高度差不多處于罐子的中下處,從已知的參數可以估算出 3m* 1m* 0. 1m 等于300L,也就是說一小時至少跑了300L 水(忽略來水),從原因一加原因三觀察看出,明顯一小時跑水量達不到 300L 這么大的量。那么這會不會是虹吸造成的呢,如果發生虹吸。

其中 p 1 代表 8SVA001BA 處大氣壓因罐子截面面積遠遠大于虹吸管截面,所以 v 1 為零,p 2 代表凝汽器壓力,這里取7kpa,l 代表凝汽器與dn50渦街流量計(8SVA001BA)所處高度差,從現場實際布置目測大概是距離地面 5m 左右,帶入公式,計算得出 v = 17m/s 左右,即使考慮管道流阻,取 v =2. 2m/s,帶入公式計算一小時罐子的流量得出 πr2vt =22m 3 ,(查閱相關管道布置圖得知 r = 0. 03m,t = 3 600s)遠遠大于3 00l,所以不可能是虹吸,那么這 3 00l 水到底去哪里了呢。查閱資料得知,核電廠的凝汽器的負壓值在 5. 39 ~11. 8kpa,該值對應的水飽和溫度范圍為 34 ~49℃之間,而排水管道中的水溫應該在 50℃左右(通過水箱外部點溫儀測量的溫度在 60℃ 左右)。所以 8SVA001/002PO 排放到低液位停止之后,下游管道內的水溫高于凝汽器負壓下的飽和水溫,會逐漸汽化,進入凝汽器,造成冷凝水回水箱(8SVA001BA)液位的緩慢下降。通過對比發現,冬天里一周的報警次數都大于夏天里一個月的報警次數,原因是夏天凝汽器的真空壓力明顯高于冬天的凝汽器真空壓力,這就造成了管道里夏天的飽和水溫度明顯高于冬天的飽和水溫度,也就說明相同的溫度來水,冬天更容易發生汽化,所以液位下降也就更明顯。這個結果更加驗證了dn50渦街流量計(8SVA001BA)水位下降是由于管道內水汽化的結果,而不是虹吸。
三、改進措施
通過上述計算得知造成液位下降的真實原因不是虹吸,沒有必要再增加 U 型管的高度來破壞虹吸。為了防止液位降低,可以在凝結水泵(8SVA001/002PO)設置氣動隔離閥,引入控制信號與凝結水泵(8SVA001/002PO),當任意一臺凝結水泵啟動,閥門開,反之,當兩臺凝結水泵都停運,閥門關閉,從而有效阻止通過冷凝水泵下游管線氣化造成冷凝水箱液位降低。
四、結語
凝結水泵(8SVA001/002PO)排放到低液位停止之后,通過計算分析得出目前的 U 型管高度滿足破壞虹吸要求,不會發生虹吸,造成液位下降的真實原因是凝結水泵下游管道內的水溫高于凝汽器負壓下的飽和水溫,會逐漸汽化,進入凝汽器,造成dn50渦街流量計(8SVA001BA)液位的緩慢下降。


