相關產品推薦更多 >>
高爐煤氣流量計特點及檢驗安裝調試過程
點擊次數:2946 發布時間:2021-01-08 06:05:41
高爐煤氣流量計是測量流量的差壓發生裝置,配合各種差壓計或差壓變送器可測量管道中各種流體的流量。高爐煤氣流量計節流裝置包括環室孔板,噴嘴等。高爐煤氣流量計節流裝置與差壓變送器配套使用,可測量液體、蒸汽、氣體的流量,高爐煤氣流量計廣泛應用于石油、化工、冶金、電力、輕工等部門。
高爐煤氣流量計是集流量、溫度、壓力檢測功能于一體,并能進行溫度、壓力自動補償的新一代高爐煤氣流量計,該高爐煤氣流量計采用先進的微機技術與微功耗新技術,功能強,結構緊湊,操作簡單,使用方便。
高爐煤氣流量計的調試分為現場校驗和現場調試兩部分,現場校驗包括變送器的校驗和節流裝置的檢驗,現場調試包括高爐煤氣流量計的投用、變送器的參數設置和故障處理。
1. 組成
高爐煤氣流量計是由節流裝置(或差壓流量傳感器)a和差壓計(或差壓變送器及顯
示儀表) b兩部分組成。a, b之間是由差壓信號管路c連接。節流裝置包括節流件、取壓裝置和前后測量管。節流件:標準孔板、標準噴嘴、長徑噴嘴、1/4圓孔板、雙重孔板、偏心孔板、圓缺孔板、錐形入口孔板等。高爐煤氣流量計的組成見圖1,實物圖如圖2.


2. 工作原理
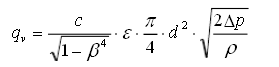
高爐煤氣流量計是以伯努利方程和流動連續性方程為依據,當流體流經節流件(或傳感器)時,在其兩側產生差壓,而這一差壓與流量的平方成正比。
流量公式:

其中:
c——流出系數 無量綱
d——工作條件下節流件的節流孔或喉部直徑mm
D——工作條件下上游管道內徑mm
Qv——體積流量m3/s
β——直徑比d/D 無量綱
ρ——流體密度kg/m3
ε——可膨脹性系數 無量綱
3. 結構特點
3.1 優點
(1)節省安裝構造易于復制,簡略、結實,功能可靠,性價比高;
(2)孔板核算采用國際規范與加工,檢測件和差壓顯示儀表可分開不同廠家生產,便與專業化規模生產;
(3)應用范圍廣,包括全部單相流體(液、氣、蒸汽)、部分混相流,一般生產過程的管徑、工作狀態(溫度、壓力)皆有產品;
(4)一體型孔板裝置更簡略,無須引壓管,可直接接差壓變送器和壓力變送器。
3.2缺點
(1)測量的重復性、精確度在流量計中屬于中等水平,由于眾多因素的影響錯綜復雜,精確度難于提高。
(2)范圍度窄,由于流量系數與雷諾數有關,一般范圍度僅3∶1 ~ 4∶1;
(3)有較長的直管段長度要求,一般難于滿足,尤其對較大管徑,問題更加突出;
(4)壓力損失大;
(5)孔板以內孔銳角線來保證精度,因此對腐蝕、磨損、結垢、臟污敏感,長期使用精
度難以保證,需每年拆下強檢一次;
(6)采用法蘭連接,易產生跑、冒、滴、漏問題,大大增加了維護工作量。
4. 高爐煤氣流量計的校驗
4.1 節流裝置的檢驗
節流裝置的檢驗應包括對節流件、取壓裝置及對上、下游管道的幾何檢驗。
4.1.1 標志
節流裝置或傳感器的明顯部位應有流向標志,還應有銘*。銘*上注明制造廠名;產品名稱及型號;制造日期和編號;公稱通徑;工作壓力;節流件孔徑。
4.1.2 隨機文件
節流裝置及傳感器應有設計計算書及使用說明書。
4.1.3 管道
節流裝置安裝在兩段有恒定橫截面的圓筒形直管段之間,在此中間無本規程規定之外的障礙和聯接支管(無論有無流體進人或流出這種支管)管道應是直的,不得有肉眼可見的彎曲。管道內表面(至少在節流件上游10D和下游4D的范圍內)應清潔,并且應滿足有關粗糙度的規定。
4.1.4 孔板
孔板的檢驗主要包括:上游端面的平面度及表面粗糙度、厚度E及開孔圓筒形長度、邊緣、節流孔直徑d、出口斜角ψ
4.2 變送器的校驗
4.2.1 外觀檢查
在變送器的明顯部位有銘*。銘*文字、符號完整、清晰,注明變送器名稱、型號及標格,量程及可調范圍,公稱壓力,輸出信號,準確度等級、計量器具生產許可證標志及編號;供電(氣)源,制造廠名及出廠日期編號;若是防爆型的變送器應有防爆等級標志及防爆合格證編號,另附使用說明書;正、負壓室應有明顯標記;變送器表面色澤均勻,涂鍍層光潔,無明顯傷痕等;可動部件靈活可靠,緊固件不得有松動和損傷現象;密封性:正、負壓室同時承受公稱壓力持續一定時間,變送器不得泄漏和損壞。
4.2.2 絕緣檢查
電源端子與接地(機殼)端子>50MW
電源端子與輸出端子>50MW
輸出端子與接地(機殼)端子>20MW
4.2.3 示值檢定及誤差計算
變送器現場示值校驗按圖3連接。

校驗前儀表預熱15min以上,預熱后輸入差壓信號進行不少于3次的全范圍移動,然后在變送器輸出量程內,選擇不少于5個檢定點,包括上、下限值(或上限值的10%和90%附近)進行試驗,并記下變送器檢定前的輸出值。檢定前允許調整輸出下限值和量程。在檢定時輸出信號要緩慢平穩地按同一個方向逼近檢定點,3s后讀取輸出信號的實測值。從下限至上限是上行程,從上限至下限是下行程,上、下行程為一個循環。基本誤差檢定至少取1個循環;回程誤差取1至3個循環;需要做重復性時至少取3個循環。將全部數據記人記錄表,并計算基本誤差和回程誤差。
5.高爐煤氣流量計的安裝
高爐煤氣流量計的安裝應符合自動化儀表工程施工及驗收規范(GB50093-2002)
中流量取源部件的安裝規定,即:
測量氣體流量時,取壓口在管道的上半部;
測量液體流量時,在管道的下半部與管道的水平中心線成0~45°夾角的范圍內;
測量蒸汽流量時,在管道的上半部與管道水平中心線成0~45°夾角的范圍內;
圖4是馬鞍山鋼鐵苯加氫工程氮氣管道高爐煤氣流量計實際的安裝圖,圖5是苯加氫工程除鹽水管道高爐煤氣流量計實際的安裝圖。


6. 高爐煤氣流量計的參數設置及投用
6.1 參數設置
線路檢查無誤,然后進行上電運行,確認變送器處于正常運作中,通過通訊器與變送器進行通訊,檢查和修改變送器參數設置,主要包括:測量范圍、輸出/內藏儀表顯示模式、工作模式和變送器故障時輸出狀態設定等。
6.2 變送器投用
變送器三閥組的投入步驟如下:
1)關閉正壓閥;
2)打開平衡閥;
3)關閉負壓閥;
4)將表堵頭螺釘松開排堵;
5)檢查并調整儀表零位;
6)投用及清潔現場。
7. 工程中常見問題及處理方法
工程中常見的問題及處理方法如表1.


高爐煤氣流量計是集流量、溫度、壓力檢測功能于一體,并能進行溫度、壓力自動補償的新一代高爐煤氣流量計,該高爐煤氣流量計采用先進的微機技術與微功耗新技術,功能強,結構緊湊,操作簡單,使用方便。
高爐煤氣流量計的調試分為現場校驗和現場調試兩部分,現場校驗包括變送器的校驗和節流裝置的檢驗,現場調試包括高爐煤氣流量計的投用、變送器的參數設置和故障處理。
1. 組成
高爐煤氣流量計是由節流裝置(或差壓流量傳感器)a和差壓計(或差壓變送器及顯
示儀表) b兩部分組成。a, b之間是由差壓信號管路c連接。節流裝置包括節流件、取壓裝置和前后測量管。節流件:標準孔板、標準噴嘴、長徑噴嘴、1/4圓孔板、雙重孔板、偏心孔板、圓缺孔板、錐形入口孔板等。高爐煤氣流量計的組成見圖1,實物圖如圖2.


2. 工作原理
高爐煤氣流量計是以伯努利方程和流動連續性方程為依據,當流體流經節流件(或傳感器)時,在其兩側產生差壓,而這一差壓與流量的平方成正比。
流量公式:

其中:
c——流出系數 無量綱
d——工作條件下節流件的節流孔或喉部直徑mm
D——工作條件下上游管道內徑mm
Qv——體積流量m3/s
β——直徑比d/D 無量綱
ρ——流體密度kg/m3
ε——可膨脹性系數 無量綱
3. 結構特點
3.1 優點
(1)節省安裝構造易于復制,簡略、結實,功能可靠,性價比高;
(2)孔板核算采用國際規范與加工,檢測件和差壓顯示儀表可分開不同廠家生產,便與專業化規模生產;
(3)應用范圍廣,包括全部單相流體(液、氣、蒸汽)、部分混相流,一般生產過程的管徑、工作狀態(溫度、壓力)皆有產品;
(4)一體型孔板裝置更簡略,無須引壓管,可直接接差壓變送器和壓力變送器。
3.2缺點
(1)測量的重復性、精確度在流量計中屬于中等水平,由于眾多因素的影響錯綜復雜,精確度難于提高。
(2)范圍度窄,由于流量系數與雷諾數有關,一般范圍度僅3∶1 ~ 4∶1;
(3)有較長的直管段長度要求,一般難于滿足,尤其對較大管徑,問題更加突出;
(4)壓力損失大;
(5)孔板以內孔銳角線來保證精度,因此對腐蝕、磨損、結垢、臟污敏感,長期使用精
度難以保證,需每年拆下強檢一次;
(6)采用法蘭連接,易產生跑、冒、滴、漏問題,大大增加了維護工作量。
4. 高爐煤氣流量計的校驗
4.1 節流裝置的檢驗
節流裝置的檢驗應包括對節流件、取壓裝置及對上、下游管道的幾何檢驗。
4.1.1 標志
節流裝置或傳感器的明顯部位應有流向標志,還應有銘*。銘*上注明制造廠名;產品名稱及型號;制造日期和編號;公稱通徑;工作壓力;節流件孔徑。
4.1.2 隨機文件
節流裝置及傳感器應有設計計算書及使用說明書。
4.1.3 管道
節流裝置安裝在兩段有恒定橫截面的圓筒形直管段之間,在此中間無本規程規定之外的障礙和聯接支管(無論有無流體進人或流出這種支管)管道應是直的,不得有肉眼可見的彎曲。管道內表面(至少在節流件上游10D和下游4D的范圍內)應清潔,并且應滿足有關粗糙度的規定。
4.1.4 孔板
孔板的檢驗主要包括:上游端面的平面度及表面粗糙度、厚度E及開孔圓筒形長度、邊緣、節流孔直徑d、出口斜角ψ
4.2 變送器的校驗
4.2.1 外觀檢查
在變送器的明顯部位有銘*。銘*文字、符號完整、清晰,注明變送器名稱、型號及標格,量程及可調范圍,公稱壓力,輸出信號,準確度等級、計量器具生產許可證標志及編號;供電(氣)源,制造廠名及出廠日期編號;若是防爆型的變送器應有防爆等級標志及防爆合格證編號,另附使用說明書;正、負壓室應有明顯標記;變送器表面色澤均勻,涂鍍層光潔,無明顯傷痕等;可動部件靈活可靠,緊固件不得有松動和損傷現象;密封性:正、負壓室同時承受公稱壓力持續一定時間,變送器不得泄漏和損壞。
4.2.2 絕緣檢查
電源端子與接地(機殼)端子>50MW
電源端子與輸出端子>50MW
輸出端子與接地(機殼)端子>20MW
4.2.3 示值檢定及誤差計算
變送器現場示值校驗按圖3連接。

校驗前儀表預熱15min以上,預熱后輸入差壓信號進行不少于3次的全范圍移動,然后在變送器輸出量程內,選擇不少于5個檢定點,包括上、下限值(或上限值的10%和90%附近)進行試驗,并記下變送器檢定前的輸出值。檢定前允許調整輸出下限值和量程。在檢定時輸出信號要緩慢平穩地按同一個方向逼近檢定點,3s后讀取輸出信號的實測值。從下限至上限是上行程,從上限至下限是下行程,上、下行程為一個循環。基本誤差檢定至少取1個循環;回程誤差取1至3個循環;需要做重復性時至少取3個循環。將全部數據記人記錄表,并計算基本誤差和回程誤差。
5.高爐煤氣流量計的安裝
高爐煤氣流量計的安裝應符合自動化儀表工程施工及驗收規范(GB50093-2002)
中流量取源部件的安裝規定,即:
測量氣體流量時,取壓口在管道的上半部;
測量液體流量時,在管道的下半部與管道的水平中心線成0~45°夾角的范圍內;
測量蒸汽流量時,在管道的上半部與管道水平中心線成0~45°夾角的范圍內;
圖4是馬鞍山鋼鐵苯加氫工程氮氣管道高爐煤氣流量計實際的安裝圖,圖5是苯加氫工程除鹽水管道高爐煤氣流量計實際的安裝圖。


6. 高爐煤氣流量計的參數設置及投用
6.1 參數設置
線路檢查無誤,然后進行上電運行,確認變送器處于正常運作中,通過通訊器與變送器進行通訊,檢查和修改變送器參數設置,主要包括:測量范圍、輸出/內藏儀表顯示模式、工作模式和變送器故障時輸出狀態設定等。
6.2 變送器投用
變送器三閥組的投入步驟如下:
1)關閉正壓閥;
2)打開平衡閥;
3)關閉負壓閥;
4)將表堵頭螺釘松開排堵;
5)檢查并調整儀表零位;
6)投用及清潔現場。
7. 工程中常見問題及處理方法
工程中常見的問題及處理方法如表1.




