插入式流量計的安裝使用
點擊次數:3072 發布時間:2020-04-25 08:13:05
插入式流量計具有結構簡單,價格便宜的特點,而且和其它流量計相比,越是大口徑流量計,制造成本越低廉,適用于工業過程控制中的流量測量和大口徑管道的流體總量測量。點流型插入式流量計可選用插入渦輪、插入渦街或插入式電磁流量計,徑流型插入式流量計目前國內一般只有差壓式均速管流量計(其它形式的流量計如均速管型插入式電磁流量計、多點插入型熱式質量流量計等尚未得到廣泛應用)。安裝使用時應注意如下事項。
1.點流型插入式流量計
1)由于點流型插入式流量計的測量精度與管內流速分布有著極為密切的關系,在現場安裝中,應盡量避免在非充分發展管流中使用,條件允許時,儀表前后應安裝足夠長的直管段,儀表上游應盡量避免象空間彎頭這樣的能使流速分布嚴重畸變的阻流件以及復合阻流件。圖11-8所示的迎流偏角和俯仰角應盡可能小,一般認為偏角應小于10°,俯仰角影響目前尚缺試驗數據。
2)要正確使用點流型插入式流量計,應詳細掌握使用現場的幾個條件,它們是儀表上游阻流件類型、上下游直管段長度和測量管道的詳細情況等。尤其是測量管道(傳感器殼體)的作用極為重要.它是點流型插入式流量計的五個組件之一,但生產廠家往往并不提供測量管道(傳感器殼體)。而流量計的幾個系數α、β, γ和截面積A幾乎都與測量管道有關。使用時應對測量管的粗糙度、橫截面積以及與前后管段的關系應有一個定量的了解。
粗糙度是影響流速分布系數α的主要參數之一,由于流體介質的影響(如腐蝕、銹蝕、沾污等),管壁粗糙度可能**間變化,現場使用時可按實測法確定。*先在一段長度為L的管段上測取壓力損失δρ,然后由式(11-18)計算流體阻力系數λ

式中,δρ是壓力損失(Pa); λ是流體阻力系數;L是管段長度(m); D是管道內徑(M); ρ是介質密度(kg/m3);u是流速(m/s)。
根據上式得到的流體阻力系數λ,由柯爾布魯克(Cole-brook)公式(11-8)求得管壁粗糙度。
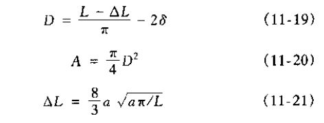
管道內徑的實際值也往往無法準確知道,在管道已經連接好的現場情況下也可用實測法來確定。實測法可用外圓周實側法,在管道外測量管道外圓周長為L,則

式中,D是管道內徑(m); A是管道橫截面積(m2); L是實測外圓周長(m); a是管道外表面局部突出物高度(m); δ是管壁厚度(m)。
測量管與前后管段的尺寸關系,如與上游管道尺寸有差異面形成臺階等,也會影響流速分布從而影響儀表測量精度.所以在現場安裝使用時必須充分認識道測量管的重要性。
3)測量頭與被測管道大小的尺寸比例在大口徑管道系列的下限口徑(根據目前測量頭直徑一般為DN50,此下限口徑為DN1000)以下時,需用阻塞系數β來修正流量計的儀表系數。影響阻塞系數的因素有:插入桿與測量頭的迎流截面阻塞率,測量頭的類型,插入桿與引出管窗口的大小,測量頭的插入位置等。以阻塞率為參數的阻塞系數計算式(11-12)在其它影響因素確定的條件下才能正確使用。某些廠家使用的計算式(11-15)也尚缺乏試驗基礎。在測量頭結構尚未標準化的時候生產廠家為本廠產品進行阻塞系數試驗是必要的。
引出管窗口對流場也會產生干擾。為了取出測量頭(尤其是不斷流取出型)需有較大的窗口(一般為D100),在窗口附近,流速分布將發生畸變,在大口徑管道系列下限口徑中應特別注意。如果測量頭的插入位置在管道軸線處,則引出窗的影響基本上可以忽略。
表11-4為各種口徑下測量頭在不同插入位置受窗口影響的試驗結果。表中,L/D為插入位置,括號外數據為該位置儀表系數與管道軸線處儀表系數的偏差,括號內數據為考慮了點流速分布系數與阻塞系數后的偏差值。

由上可見,即使扣除了α和β影響,仍存在著平均偏差2.7% (L/D=0.313)和3.5% (L/D=0.123),顯然,這是因為流量計算式中沒有考慮測量頭偏心時對流場的影響以及管壁對測量頭的影響。因此,對于口徑不是足夠大(如lm以上)管道,插入式流量計在偏離管道軸線處測量時,即使考慮α和β的修正。仍可能帶來(2一5)%的偏差。
所以,當管道口徑不是很大時,安裝懸臂長度也不成問題時,插入式流量計測量頭應盡量插到管道軸線處。
2.徑流型插入式流量計----均速管流量計
1)均速管流量計可以安裝在管道的任何平面上(水平、垂直或中間任何角度)。測量液體流量時,均速管流量計的接頭應位于水平管道中心線以下(見圖11-7a);測*氣體流量時,流*計接頭應位于水平管道中心線以上(見圖11-7b);測量蒸汽流量時,不管是水平管道還是垂直管道,均速管都應水平安裝,同時應注意均速管的兩個高低壓接頭應處于同一水平面上。對于垂直管道,均速管流量計可安裝在管道水平面沿圓周360°的任何位置上。

2)測量管道的實際內徑值對均速管流量計的測量有直接影響,使用時可采用外圓周實測法準確地求得測量管道的內徑。管徑對測量的影響主要表現在兩方面:一是影響管道截面積,從式(11-16)可知直接影響流*值;二是均速管檢測桿測量段長度與管道實際內徑可能不符造成的測量誤差。廠家生產的均速管檢測桿長度一般是按公稱通徑設計的,而現場工業管道的實際內徑往往與公稱通徑不符合。安裝時,如果實際管徑偏大或偏小,這時仍把檢測桿插到底,則檢測桿上的總壓孔分布將處于偏心狀態,從面帶來測量誤差。如果為了糾正總壓孔偏心而使檢測桿一端懸空也將帶來很大的測量誤差。表11-5列出了檢測桿端頭與管壁有間隙時的流量系數偏差試驗值。

由表可見。當檢測桿懸空2mm時,流量系數α的偏差己達(4一5)%。
另外,測量高溫介質時,由于管道材料與均速管檢測桿材料的熱膨脹系數不一致,在檢測桿的端部必須預留間隙,間隙大小根據管徑大小、溫差以及所用材料熱膨脹性能而定。由于預留間隙不一定很準確,使用時仍可能存在間隙。只要有間隙存在,就會引起流量系數的變化,這是均速管流量計安裝使用中必須引起重視的問題。
3)測量氣體流量的均速管流量計,應注意風洞標定與封閉圓管標定的流量系數有較大的差異,因此,用于工業管道的均速管不能采用風洞標定數據。
4)安裝偏角和俯仰角應符合圖11-8的要求。


上一篇:插入式流量計的原理與分類
下一篇:浮子流量計的結構分類


